この記事には広告を含む場合があります。
記事内で紹介する商品を購入することで、当サイトに売り上げの一部が還元されることがあります。
問5:地球大気に入射する太陽放射
地球大気に入射する太陽放射に関する次の文(a)〜(d) の正誤の組み合わせとして正し いものを、下記の①〜⑤の中から1つ選べ。ただし、sin30° = 0.5、 sin60° = 0.87 とする。
(a) 大気上端に入射する太陽放射エネルギーには、可視光線域の放射エネルギーと赤外線域の放射エネルギーが同程度含まれている。
(b) 6月に大気上端の水平な単位面積に入射する1日あたりの太陽放射エネルギーは、 赤道上の地点の方が北極点よりも多い。
(c) 地球全体に入射する1日あたりの太陽放射エネルギーは、地球と太陽の距離が近 い7月の方が、この距離が遠い1月よりも多い。
(d) 春分の日の太陽の南中時に大気上端の水平な単位面積に入射する太陽放射エネルギーは、北緯30° の地点では北緯60° の地点の約1.4倍となっている。

③ (a)正, (b)誤, (c)誤, (d)誤
出題頻度3
大気上端に入射する太陽放射エネルギーのうち、可視光線域のエネルギーが最も多く、赤外線域よりも多く含まれています。
太陽放射エネルギーは、その波長によって分布が異なりますが・・・
大気上端(地球から約100km上空)では、そのエネルギーの約43%が可視光線、約49%が赤外線、そして約8%が紫外線です。
したがって、約43%と約49%を同程度とするなら、可視光線と赤外線は同程度と言えます。
| 波長域 | 放射エネルギーの割合 |
|---|---|
| 可視光線 | 約43% |
| 赤外線 | 約49% |
| 紫外線 | 約8% |
よって (a) の「大気上端に入射する太陽放射エネルギーには、可視光線域の放射エネルギーと赤外線域の放射エネルギーが同程度含まれている。」は正しい!
6月は北半球が夏至を迎えるため、太陽高度が最も高くなるのは北回帰線(北緯23.4度)付近ですが、1日あたりの総太陽放射エネルギーで見ると、北極点の方が赤道よりも多くなります。
これは以下の理由によります。
- 赤道:1年を通して日照時間はほぼ12時間で一定です。6月もこの時間が変わりません。
- 北極点:6月は白夜となり、1日中(24時間)太陽が沈みません。
太陽の高度は赤道の方が高いですが、北極点では24時間にわたって太陽放射を受け続けるため、1日あたりの合計エネルギーは赤道を上回ります。
よって(b) の「6月に大気上端の水平な単位面積に入射する1日あたりの太陽放射エネルギーは、 赤道上の地点の方が北極点よりも多い。」は誤り!
地球全体に入射する1日あたりの太陽放射エネルギーは、1月の方が7月よりも多いです。
これは、地球の公転軌道がわずかに楕円形であるためです。
地球は太陽の周りを公転していますが、その軌道は完全な円ではなく、少しつぶれた楕円形になっています。
- 近日点: 太陽に最も近づく位置。
地球は1月上旬ごろに近日点を通過します。
このとき、太陽との距離が最も近くなるため、地球全体が受け取る太陽放射エネルギーは最大になります。 - 遠日点: 太陽から最も遠ざかる位置。
地球は7月上旬ごろに遠日点を通過します。
このとき、太陽との距離が最も遠くなるため、地球全体が受け取る太陽放射エネルギーは最小になります。
この距離の差が、地球全体に入射するエネルギーに影響を与えます。
1月の近日点では、7月の遠日点に比べて太陽からのエネルギーを約7%多く受け取ります。
よって(c) の「地球全体に入射する1日あたりの太陽放射エネルギーは、地球と太陽の距離が近い7月の方が、この距離が遠い1月よりも多い。」は誤り!
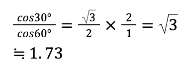
春分の日の太陽の南中時に大気上端の水平な単位面積に入射する太陽放射エネルギーは、北緯30° の地点では北緯60° の地点の約1.73倍です。
これは、太陽の南中時の太陽高度が緯度によって異なるためです。
【計算方法】
問題文より春分の日なので、単純に赤道に直角に太陽放射エネルギーが入射するとして・・・

上の図でイメージします。
緯度30°では、赤道で受け取る太陽放射エネルギーの cos30° 倍。
同じように
緯度60°では、赤道で受け取る太陽放射エネルギーの cos60° 倍。
なので、cos30° は cos60°の何倍かという計算をします。

上記の式より、北緯30° の地点では北緯60° の地点の約1.7倍です。
よって(d) の「春分の日の太陽の南中時に大気上端の水平な単位面積に入射する太陽放射エネルギーは、北緯30° の地点では北緯60° の地点の約1.4倍となっている。」は誤り!
独学の場合、参考書を読んでもわからない・難しすぎると勉強が進みませんよね。
充実した教材に加え、いつでも質問し放題なのに、コスパが良い!と私がおすすめしているのが「気象予報士アカデミー」さん。
講師には、超ベテラン&現在進行形で気象業務に関わる気象予報士がいて、安心して勉強できます。
(ちなみにプロフィールにも記載しておりますが、私・晴野(はれの)も、質問対応に参加しております。)
興味があればチェックしてみて↓
▶︎気象予報士アカデミーを見てみる

